壹生大学

壹生身份认证协议书

本项目是由壹生提供的专业性学术分享,仅面向医疗卫生专业人士。我们将收集您是否是医疗卫生专业人士的信息,仅用于资格认证,不会用于其他用途。壹生作为平台及平台数据的运营者和负责方,负责平台和本专区及用户相关信息搜集和使用的合规和保护。
本协议书仅为了向您说明个人相关信息处理目的,向您单独征求的同意,您已签署的壹生平台《壹生用户服务协议》和《壹生隐私政策》,详见链接:
壹生用户服务协议:
https://apps.medtrib.cn/html/serviceAgreement.html
壹生隐私政策:
https://apps.medtrib.cn/html/p.html
如果您是医疗卫生专业人士,且点击了“同意”,表明您作为壹生的注册用户已授权壹生平台收集您是否是医疗卫生专业人士的信息,可以使用本项服务。
如果您不是医疗卫生专业人士或不同意本说明,请勿点击“同意”,因为本项服务仅面向医疗卫生人士,以及专业性、合规性要求等因素,您将无法使用本项服务。

同意

拒绝

同意

拒绝

知情同意书

同意

不同意并跳过

工作人员正在审核中,
请您耐心等待
审核未通过
重新提交
完善信息
{{ item.question }}
确定
收集问题
{{ item.question }}
确定
您已通过HCP身份认证和信息审核
(
5
s)

同是“早期”肝癌,术后5年生存率为何相差甚远?东方肝胆专科联盟(EHBA)大数据揭秘真相!

2025-10-13作者:CMT琳资讯
非原创


“早期肝癌”听起来像是一颗定心丸,但不同医院、不同指南给出的“早期”标准并不一样。


近日,海军军医大学第三附属医院(上海东方肝胆外科医院)杨田教授团队联合国内多家肝胆外科中心,在国际外科学知名期刊European Journal of Surgical Oncology发表研究,首次通过对4623例肝癌根治性切除手术患者进行真实世界数据分析,对比了五大国内外主流分期系统对“早期肝癌”的定义差异,发现不同标准下患者术后5年生存率最高与最低相差7.5%,5年复发率相差达6.8%,这为“早期”肝癌标准统一及临床决策提供了关键依据!






研究背景:肝癌“早期”定义混乱,临床亟需破局




肝细胞癌(HCC,简称肝癌)是全球癌症相关死亡的第三大原因,手术切除是早期肝癌患者获得根治机会的主要手段。目前存在的五大国内外认可程度较高的肝癌分期系统是:


● CNLC 分期:中国肝癌分期(结合中国肝癌为主的疾病特征和治疗选择倾向,最适合中国肝癌患者);


● BCLC 分期:巴塞罗那肝癌临床分期(整合治疗方案、肝功能与身体状态);


● AJCC-TNM 分期:美国癌症联合委员会的肿瘤-淋巴结-转移分期(侧重肿瘤解剖范围和病理结果);


● Milan 标准:肝癌肝移植筛选米兰标准(侧重移植候选者适配性);


● HKLC 分期:香港肝癌分期(针对亚洲人群肿瘤特点)。


存在的现实痛点在于,不同“早期肝癌”的界定标准截然不同:有的侧重肿瘤大小,有的关注肝功能,有的结合治疗适配性。这种“标准不一”不仅让医生制定方案时困惑,更可能导致患者错失手术时机或过度治疗。为此,该项多中心研究旨在用大样本真实数据量化不同分期系统的预后差异,推动 “早期肝癌”定义走向精准统一,让诊疗更规范、患者更获益。



研究方法:11家中心4623例,聚焦真实世界疗效




本研究为多中心回顾性队列研究,纳入标准包括:经病理学证实为HCC、接受R0切除、年龄≥18岁、术后随访时间不少于6个月。最终共4,623例患者符合标准纳入分析。


研究中,所有患者均按五大分期系统重新判定 “是否为早期”(早期定义明确:CNLC Ⅰ期、BCLC 0/A 期、AJCC-TNM Ⅰ期、符合 Milan 标准、HKLC Ⅰ/Ⅱa 期),核心观察指标为5年总生存率(5-year OS,即术后存活 5 年的患者比例) 和5年累积复发率(5-year TTR,即术后 5 年内出现肿瘤复发的患者比例),全面对比各系统的预后评估价值。



研究结果:三大关键发现,颠覆 “早期” 认知




本研究得出3项极具临床意义的结论,清晰揭示不同“早期”标准的差异。


01


早期患者比例:最高与最低差近 27%,标准宽严差异显著


不同系统判定的“早期肝癌”患者占比悬殊,反映出各系统对“早期”的宽严尺度差异:CNLC Ⅰ期(76.3%)、BCLC 0/A 期(71.4%)、HKLC Ⅰ/Ⅱa期(53.1%)、AJCC-TNM Ⅰ期(49.3%)、符合Milan 标准(49.3%)。


02
术后5年生存率:相差7.5%,严格标准更能筛选“低危获益人群”


不同系统下早期患者的 5 年生存率差异显著,最高与最低相差近 8 个百分点,依次是符合 Milan 标准(74.9%)、AJCC-TNM Ⅰ期(73.4%)、HKLC Ⅰ/Ⅱa 期(73.3%)、BCLC 0/A 期(68.5%)、CNLC Ⅰ 期(67.4%)。



03


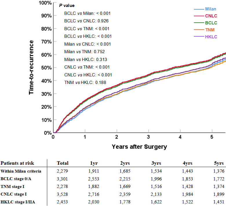
术后5年复发率:相差6.8%,肿瘤解剖特征更影响复发风险


5 年累积复发率呈现与生存率相反的趋势,侧重肿瘤解剖特征(如大小、数量、是否侵犯血管)的系统,更能预测低复发风险,依次是AJCC-TNM Ⅰ期(39.5%)、符合 Milan 标准(39.6%)、HKLC Ⅰ/Ⅱa 期(40.8%)、BCLC 0/A 期(46.3%)、CNLC Ⅰ期(46.2%)。




临床意义:医生、患者都该知道的事儿




1. 对医生同行:精准分期是治疗决策的 “基石”


  • 制定治疗方案前,需明确告知患者所用分期系统,避免因标准差异导致治疗偏差;

  • 对超出传统 “早期” 标准但肝功能良好、肿瘤可控的患者(如部分 BCLC B 期甚至C期、超米兰标准、CNLC Ⅱ~Ⅲ期),在经验丰富的中心仍可考虑手术,不必完全拘泥于分期标签;

  • 未来需探索“分期系统+分子标志物”的个体化模型(如结合 AFP、PIVKA-Ⅱ等肿瘤指标),进一步提升预后预测精度,避免仅靠临床特征分期的局限性。


2. 对患者及家属:看懂 “早期” 报告,避开 2 个误区


  • 明确标准更能客观评估预后:拿到“早期肝癌”诊断后,务必多问一句:“是按哪个分期系统判定的早期?

  • 术后坚持规律随访:建议术后第1个月复查排除肿瘤残留,此后2年内每2~3个月复查一次(腹部 CT、AFP 等),2年后每3~6个月复查一次,早发现复发才能抓住“二次根治”机会;

  • 复发后别放弃:东方肝胆外科医院的研究数据显示,复发后仍有近50%可接受再次潜在根治性治疗(包括再次肝切除术、局部消融或挽救性肝移植),及时到肝胆专科中心就诊是关键。


(本项研究示意图)


第一作者简介


姚岚清
海军军医大学第三附属医院(上海东方肝胆外科医院)

肝外二科主治医师、讲师。国际肝胆胰协会(IHPBA)、亚太肝胆胰协会(A-PHPBA)会员,iLIVER杂志青年编委。以第一(含共同)作者身份在Hepatobiliary Surg Nutr、Ann Surg Oncol、HBPD Int、BJS Open、Am J Surg等发表SCI论文16篇,单篇IF>5分10篇,IF总分187.0分,被Lancet、Lancet GH、Ann Surg等他引230余次,其中5项研究纳入中国临床肿瘤学会(CSCO)原发性肝癌诊疗指南。曾在本专业最高等级学术组织——国际肝胆胰协会(IHPBA)学术大会(2022)、亚太肝胆胰协会(A-PHPBA)学术大会(2025)做大会口头报告2项,壁报展示3篇。主持1项上海市级科研项目,参与3项国家自然科学基金项目。授权实用新型专利2项,软件著作权专利8项。参编2022、2024年《中国临床肿瘤学年度研究进展》。以团队主要成员身份获中国抗癌协会肿瘤综合诊疗奖一等奖。


通讯作者简介


杨田
海军军医大学第三附属医院(上海东方肝胆外科医院)

主任医师,教授,博士生导师,院长助理,临床研究院副院长,中心实验室主任。师从吴孟超和刘允怡院士。美国纽约西奈山医院访问学者。从事肝胆外科临床和科研工作,致力于肝癌早诊早筛、外科策略优化、复发防控和相关机制的临床和基础研究。2024年国家杰出青年科学基金(临床杰青)获得者,入选军队青年科技英才、上海市优秀学术带头人、上海市卫生健康学科带头人、上海市曙光学者、上海市杰出医学青年人才、上海市浦江人才、上海市青年拔尖人才、上海市青年科技启明星等军队和省部级人才计划。国际肝胆胰协会中国分会(CC-IHPBA)秘书长、青年专家委员会副主委、转化医学研究委员会副主委,中国临床肿瘤学会(CSCO)青年委员会常务委员、肝癌专家委员会常务委员,中国医师协会外科医师分会肝胆青年专家工作组副组长等学术兼职。担任中国卓越科技期刊iLIVER执行主编,View Medicine副主编,HBSN、HPB、HBPD Int、Hepatic Oncol、中华外科杂志、中华消化外科杂志、中华实验外科杂志等24本国内外专业期刊编委。第一或通讯 (含共同) 作者在Lancet、BMJ、JAMA Surg、Lancet Oncol、J Hematol Oncol、Gut、J Hepatol、Hepatology、Ann Surg、Br J Surg、Adv Mater、Adv Sci等发表SCI论著、综述和述评198篇,ESI高被引/封面/刊首/配发社论22篇,IF>10分43篇;总引用>7900次,单篇最高他引448次,H-index 47;28项研究纳入国内外肝癌诊疗指南(ASCO、CSCO、EASL、ESMO、APASL等),连续6年(2020~2025)入选全球前2%顶尖科学家榜单(2024年全国外科领域第3)。创立ASAP肝癌早诊模型,写入43家国内三甲医院检验报告,应用于100多万人次肝癌筛查,写入2024国家卫健委肝癌诊疗指南 (1A类证据)。主持国家自然科学基金6项、国家科技重大专项项目子课题1项、军队和省部级基金13项。获上海市科学技术奖一等奖2项、江苏省医药科技奖二等奖和三等奖1项。获全国首届癌症防治“金山茶花·杰出贡献奖”金奖、全国首届临床医学研究奖、全国“生命科学创新创业领军人物”、上海市青年医师最高荣誉奖“银蛇奖”等荣誉称号。

来源:海军军医大学第三附属医院(上海东方肝胆外科医院)

200 评论

查看更多