壹生大学

壹生身份认证协议书

本项目是由壹生提供的专业性学术分享,仅面向医疗卫生专业人士。我们将收集您是否是医疗卫生专业人士的信息,仅用于资格认证,不会用于其他用途。壹生作为平台及平台数据的运营者和负责方,负责平台和本专区及用户相关信息搜集和使用的合规和保护。
本协议书仅为了向您说明个人相关信息处理目的,向您单独征求的同意,您已签署的壹生平台《壹生用户服务协议》和《壹生隐私政策》,详见链接:
壹生用户服务协议:
https://apps.medtrib.cn/html/serviceAgreement.html
壹生隐私政策:
https://apps.medtrib.cn/html/p.html
如果您是医疗卫生专业人士,且点击了“同意”,表明您作为壹生的注册用户已授权壹生平台收集您是否是医疗卫生专业人士的信息,可以使用本项服务。
如果您不是医疗卫生专业人士或不同意本说明,请勿点击“同意”,因为本项服务仅面向医疗卫生人士,以及专业性、合规性要求等因素,您将无法使用本项服务。

同意

拒绝

同意

拒绝

知情同意书

同意

不同意并跳过

工作人员正在审核中,
请您耐心等待
审核未通过
重新提交
完善信息
{{ item.question }}
确定
收集问题
{{ item.question }}
确定
您已通过HCP身份认证和信息审核
(
5
s)

WCN中国之声 | 张宏教授团队多项IgA肾病相关研究结果公布,涉及阿曲生坦、斯贝利单抗、阿塞西普

2026-04-09作者:壹声资讯
非原创

在2026年世界肾脏病学大会(WCN 2026)上,北京大学第一医院张宏教授团队及合作单位共同开展的多项研究在会上发布了研究数据,报告了针对IgA肾病新型靶向治疗的重要研究成果,涵盖内皮素受体拮抗剂阿曲生坦、APRIL抑制剂斯贝利单抗以及BAFF/APRIL双抑制剂阿塞西普在东亚及中国患者中的疗效与安全性数据。




图片
一、ALIGN试验证实:阿曲生坦或可作为东亚IgA肾病患者的治疗选择





IgA肾病是全球最常见的原发性肾小球疾病,在亚洲人群中患病率更高、疾病进展风险更大。内皮素系统激活通过ETA受体介导细胞增殖、细胞外基质沉积及足细胞损伤,加速肾功能下降。阿曲生坦是一种高选择性ETA受体拮抗剂,已在Ⅲ期ALIGN试验中证实可显著降低蛋白尿。鉴于东亚人群IgA肾病的临床负担较重,且肾素-血管紧张素系统抑制剂(RASi)治疗方案存在较大差异,该研究开展了针对东亚患者的亚组分析,以评估阿曲生坦在不同临床情境下的疗效。


研究方法



ALIGN试验是一项双盲、Ⅲ期研究,纳入经肾活检确诊的成人IgA肾病患者,在现有RASi治疗基础上随机接受口服阿曲生坦(0.75 mg/d)或安慰剂治疗。纳入ALIGN试验主要队列的患者需满足:总尿蛋白≥1 g/d,估算肾小球滤过率(eGFR)≥30 mL/(min·1.73 m²),且在筛选前已维持RASi最大耐受剂量治疗≥12周。本次分析聚焦于东亚地区患者(n=120,其中中国大陆占45.0%)进行分层分析:


中期分析对主要队列中的东亚患者,评估其24小时尿蛋白-肌酐比值(UPCR)较基线的相对百分比变化,并按以下因素进行亚组分析:基线24小时UPCR、基线首次晨尿血尿、肾活检MEST-C评分中的单个或联合组分(系膜细胞增生、内皮细胞增生、节段性肾小球硬化、肾小管萎缩或间质纤维化、细胞/纤维细胞性新月体)。


事后分析根据基线时RASi剂量占最大标记剂量的百分比(≤50%或>50%)对亚组进行分层,评估主要终点指标——第36周24小时UPCR较基线的平均变化


研究结果



1.中期分析

阿曲生坦组与安慰剂组在这些基线人口统计学及临床特征方面无显著差异。基线24小时UPCR<1.5 g/g或≥1.5 g/g 的患者比例,以及肾活检MEST-C评分各组分情况见表1。


表1 患者特征:基线24小时UPCR及肾活检MEST-C评分各组分

图片


在基线24小时UPCR <1.5 g/g 或 ≥1.5 g/g 的东亚患者中,与安慰剂相比,阿曲生坦在第36周可降低24小时UPCR(图1)。


图片

图1 ALIGN试验第36周时东亚患者24小时UPCR 较基线的变化:A)基线24小时UPCR≥1.5 g/g;B)基线24小时UPCR<1.5 g/g


在ALIGN试验中期分析纳入的东亚患者各亚组中,第36周时24小时UPCR的相对百分比变化均显示阿曲生坦优于安慰剂(图2)。


图片

图2 ALIGN试验第36周时东亚患者24小时UPCR 较基线的变化*:按蛋白尿、血尿及MEST-C评分组分进行的亚组分析


2.事后分析

在基线时接受RASi剂量≤50%最大标记剂量的患者中,最常见的剂量水平为50%。第36周时,阿曲生坦组与安慰剂组在24小时UPCR较基线变化方面的组间差异为35.0%(95% CI 12.2%~51.9%)(图3)。


图片

图3 基线时RASi剂量不超过最大标记剂量50%的东亚患者中,24小时UPCR较基线的变化


在基线时接受RASi剂量>50% 最大标记剂量的患者中,最常见的剂量水平为100%。第36周时,阿曲生坦组与安慰剂组在24小时UPCR较基线变化方面的组间差异为51.2%(95% CI 24.4%~68.5%)(图4)。


图片

图4 基线时RASi剂量超过最大标记剂量50%的东亚患者中,24小时UPCR较基线的变化


研究结论



两项亚组分析共同表明,在东亚IgA肾病患者中,阿曲生坦治疗36周可带来显著且一致的蛋白尿降低,该获益不受基线RASi剂量、蛋白尿水平、血尿状态及肾活检病理特征的影响。这些数据为阿曲生坦作为东亚人群IgA肾病的治疗提供了坚实的循证依据,支持其可整合到现有支持治疗方案中。基于ALIGN试验结果,阿曲生坦已获得美国FDA加速批准及中国国家药品监督管理局附条件批准,用于降低有快速疾病进展风险的原发性IgA肾病成人患者的蛋白尿。




图片
二、VISIONARY试验中国队列:斯贝利单抗有效降低蛋白尿





IgA肾病在中国人群原发性肾小球疾病中占比达30%~53%,且疾病进展更为迅速。尽管接受支持治疗,仍有24%的中国患者在6年内进展至肾衰竭。斯贝利单抗是一种全人源化IgG2单克隆抗体,可选择性地阻断APRIL(增殖诱导配体),从源头干预IgA肾病的发病机制。本研究旨在报告VISIONARY试验中中国大陆队列的中期分析结果。


研究方法



VISIONARY为一项在31个国家240个中心(包括中国25个中心)开展的Ⅲ期、双盲、安慰剂对照试验。中国队列中期分析纳入42例中国大陆患者(斯贝利单抗组25例,安慰剂组17例)。纳入标准包括:年龄≥18岁、经肾活检证实的IgA肾病、24小时UPCR ≥0.75 g/g或尿蛋白≥1.0 g/天、估算肾小球滤过率(eGFR)≥30 mL/(min·1.73 m²),且接受稳定或最大耐受剂量的血管紧张素转换酶抑制剂(ACEi)和/或血管紧张素受体阻滞剂(ARB)±钠-葡萄糖协同转运蛋白2抑制剂(SGLT2i)治疗≥3个月。患者在上述基础治疗上随机接受斯贝利单抗400 mg皮下注射或安慰剂,每4周一次。


主要终点为9个月时24小时UPCR变化,次要终点包括eGFR年变化斜率、安全性、血清总IgA、IgG、IgM较基线的变化、血尿缓解及蛋白尿完全缓解(<0.5 g/天)率。探索性终点包括第12个月时24小时UPCR较基线的变化、随机尿UPCR的变化、血尿变化、血清半乳糖缺陷型IgA1(Gd-IgA1)及APRIL浓度的变化、蛋白尿缓解(第12个月时尿总蛋白<0.5 g/d)。


研究结果



中国大陆队列与全球队列的基线人口统计学和临床特征在治疗组间总体均衡。与全球队列相比,中国大陆队列患者更年轻(中位年龄36岁 vs 42岁)、女性比例更高(52% vs 38%)、SGLT2i使用率更高(45% vs 39%)。


疗效方面,9个月(第40周)时,斯贝利单抗组24小时UPCR较基线降低63.1%(95% CI 52.1%~71.6%),而安慰剂组降低3.1%(95% CI -31.0%~28.3%),相比安慰剂的校正后降幅为61.9%(95% CI 43.2%~74.5%)。这提示,斯贝利单抗的抗蛋白尿效应与全球队列一致(且数值上更大)(图5)。


图片

图5 第9个月时24小时UPCR (g/g)较基线的变化:中国大陆队列与全球队列


中国大陆队列随机UPCR结果显示,斯贝利单抗从第4周起即产生快速且持续的降低,并维持至第52周。9个月时,斯贝利单抗组随机UPCR较基线平均降低65.2%(95% CI 54.7%~73.2%),安慰剂组降低12.5%(95% CI -19.1%~35.8%),相比安慰剂的校正后降幅为60.2%(95% CI 40.3%~73.4%)(图6)。


图片

图6 中国大陆队列随机UPCR较基线的最小二乘几何均值变化


生物标志物方面,第48周时,斯贝利单抗组血清Gd-IgA1平均降低67.3%(SD 10.2%),APRIL水平几乎被完全抑制(降低97.7%,SD 0.8%)(图7);血清IgA降低67.1%,IgG降低32.0%,IgM降低74.4%。安慰剂组这些指标变化微小。


图片

图7 中国大陆队列(药效学集)各访视时Gd-IgA1和APRIL水平较基线的平均百分比变化


临床缓解方面,与全球队列研究结果一致,在中国大陆队列中,与安慰剂相比,接受斯贝利单抗治疗的患者在第48周时血尿消退率更高,且蛋白尿缓解率更高(12个月时总尿蛋白<0.5 g/d)(图8)。


图片

图8 中国大陆队列中斯贝利单抗治疗的血尿缓解与蛋白尿缓解情况(与基线相比)


安全性方面,治疗期间斯贝利单抗组与安慰剂组间的不良事件发生率在相当(78.7% vs 72.7%),且与全球队列一致,未报告死亡病例。


研究结论



两个队列中各治疗组的基线人口统计学和临床特征具有可比性。9个月时,中国大陆队列的结果与此前发表的全球中期分析一致,斯贝利单抗实现了61.9%的安慰剂校正后24小时UPCR 降低(95% CI 43.2%~74.5%),同时达到蛋白尿缓解(12个月时)、生物标志物降低以及第48周时的血尿缓解。


斯贝利单抗在中国大陆队列中耐受性良好,安全性特征与全球队列总体一致,未发现额外的临床相关安全性问题。安全性及关键次要疗效终点(估算肾小球滤过率斜率)将在24个月时进行评估。




图片
三、ORIGIN 3试验:BAFF/APRIL双靶点抑制为IgA肾病带来治疗新选择




IgA肾病的四个关键疾病标志包括:Gd-IgA1水平升高、血尿、蛋白尿和eGFR下降。当前治疗选择尚未能充分降低肾衰竭发生风险,超出KDIGO 2025指南推荐的优化支持治疗(包括RASi和SGLT2i)外,亟需能够稳定肾功能的疾病修饰治疗。阿塞西普是一种天然人TACI-Fc融合蛋白,可双重抑制B细胞活化因子(BAFF)和APRIL,精准调控B细胞活性,减少Gd-IgA1和抗Gd-IgA1自身抗体的产生,从而阻断免疫复合物形成和肾脏损伤。


研究方法



ORIGIN 3为一项多中心、随机、双盲、安慰剂对照Ⅲ期试验,纳入428例经活检证实的高进展风险IgA肾病患者。患者被随机按1:1分配接受阿塞西普150 mg皮下注射(每周一次)或安慰剂治疗36周,随后进入开放标签延长阶段至156周。


关键纳入标准包括:年龄≥18岁、活检证实的IgA肾病且疾病进展风险高、24小时UPCR ≥1.0 g/g或尿蛋白≥1.0 g/24h、eGFR≥30 mL/(min·1.73 m²),以及接受稳定且优化的RASi治疗≥12周(允许使用SGLT2i)血压≤150/90 mmHg(1 mmHg=0.133 KPa)。


主要疗效终点为36周时UPCR-24h较基线的变化;关键次要终点为104周时eGFR变化。其他终点包括Gd-IgA1变化、血尿缓解及安全性评估。


研究结果



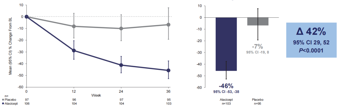
无论患者基线特征如何,阿塞西普降低UPCR的疗效在不同患者亚组中保持一致。主要终点方面,阿塞西普组36周时UPCR较基线降低46%(95% CI -58~-38),而安慰剂组仅降低7%,组间差异为42%(95% CI 29~52;P<0.0001)(图9)。


图片

图9 UPCR-24h 36周水平变化图


同时,阿塞西普同时显著降低血清Gd-IgA1水平,提高血尿缓解率(图10)。

图片

图10 次要终点36周结果图:Gd-IgA1与血尿


安全性方面,阿塞西普组与安慰剂组不良事件总体均衡,最常见不良事件为上呼吸道感染,严重不良事件发生率相似,未出现新的安全性信号。


研究结论



阿塞西普显示出具有临床意义的蛋白尿降低效果,其疗效在所有亚组中均得到验证,同时伴随Gd-IgA1水平下降及血尿症状缓解,且其安全性与安慰剂相当,为IgA肾病提供了一种新的治疗选择。


参考文献

1.Atrasentan versus placebo in subgroups of patients from East Asia with IgA nephropathy (IgAN): 

interim data from the Phase III ALIGN trial.WCN26-AB-1861.

2.Effi cacy of atrasentan by renin–angiotensin system inhibitor (RASi) dose in IgA nephropathy (IgAN) patients from East Asia: post-hoc analysis from the Phase III ALIGN trial.WCN26-AB-5543.

3.Evaluating Sibeprenlimab in Patients With IgA Nephropathy: Results From an Interim Analysis of the China Cohort of the Phase 3 VISIONARY Trial.WCN26-AB-6969.

4.ORIGIN 3: A Phase 3 Trial of Atacicept in IgA Nephropathy.WCN26-AB-6572.



来源:医路肾康


200 评论

查看更多