壹生大学

壹生身份认证协议书

本项目是由壹生提供的专业性学术分享,仅面向医疗卫生专业人士。我们将收集您是否是医疗卫生专业人士的信息,仅用于资格认证,不会用于其他用途。壹生作为平台及平台数据的运营者和负责方,负责平台和本专区及用户相关信息搜集和使用的合规和保护。
本协议书仅为了向您说明个人相关信息处理目的,向您单独征求的同意,您已签署的壹生平台《壹生用户服务协议》和《壹生隐私政策》,详见链接:
壹生用户服务协议:
https://apps.medtrib.cn/html/serviceAgreement.html
壹生隐私政策:
https://apps.medtrib.cn/html/p.html
如果您是医疗卫生专业人士,且点击了“同意”,表明您作为壹生的注册用户已授权壹生平台收集您是否是医疗卫生专业人士的信息,可以使用本项服务。
如果您不是医疗卫生专业人士或不同意本说明,请勿点击“同意”,因为本项服务仅面向医疗卫生人士,以及专业性、合规性要求等因素,您将无法使用本项服务。

同意

拒绝

同意

拒绝

知情同意书

同意

不同意并跳过

工作人员正在审核中,
请您耐心等待
审核未通过
重新提交
完善信息
{{ item.question }}
确定
收集问题
{{ item.question }}
确定
您已通过HCP身份认证和信息审核
(
5
s)

张萍教授团队:院内获得性长QT综合征患者的临床特征及机器学习预测模型的建立丨ESC 2025

2025-09-12作者:论坛报木易资讯
原创
画板 1.png

撰稿专家:北京清华长庚医院 心血管中心  罗江滢  张萍


8月29日—9月1日,2025年欧洲心脏病学会年会(ESC 2025)暨世界心脏病学大会(WCC 2025)在西班牙马德里举行。当地时间8月30日,清华大学附属北京清华长庚医院张萍教授团队的罗江滢医生以《院内获得性长QT综合征患者的临床特征及机器学习预测模型的建立》(Clinical characteristics and machine learning-based prediction of acquired Long QT Syndrome among hospitalized patients)为题做现场汇报。



图片1.png

罗江滢医师在ESC 2025现场汇报




研究背景及目的

QT间期延长是临床常见但容易被忽略的问题,多种因素可能导致QT间期延长。QT间期显著延长与尖端扭转性室性心动过速、室颤等恶性心律失常及全因死亡风险增加相关。



本研究旨在分析我院院内获得性长QT综合征患者的临床特征,并通过机器学习方法构建QT延长的预测模型。




研究方法



通过GE医疗MUSE心电信息管理系统检索2017年1月至2021年10月于北京清华长庚医院住院的获得性长QT综合征(aLQTS)、严重获得性长QT综合征(saLQTS)及对照组患者。

>>

纳入标准

① 年龄≥18岁;② 窦性心律;③ aLQTS组男性QTc间期≥470 ms,aLQTS组女性QTc间期≥480 ms;saLQTS组QTc间期≥500 ms;对照组360 ms ≤QTc间期≤ 440 ms。

→注: QTc间期( QTc=QT/√RR,Bazett公式)



>>

排除标准

① 先天性长QT综合征患者;② 先天性长QT综合征、不明原因晕厥、心脏骤停或猝死生还家族史;③ QRS时限≥120 ms(如完全性左/右束支传导阻滞、室内差异性传导、心室起搏等);④ 心房颤动/心房扑动/室上性心动过速;⑤ 其他影响QT间期测量的情况,如心电图数据质量欠佳。



基于76项特征数据,包括人口学信息、合并症、实验室检验结果、心电图特征(除外QT间期)、超声心动图数据及延长QT间期的药物,采用XGBoost算法构建aLQTS和saLQTS的预测模型。



数据集按7:3的比例划分为训练集和验证集。在训练集上通过5折交叉验证和贝叶斯优化选择最优超参数。特征重要性由权重法确定,即各特征在所有生成的决策树中被用作分割点的总次数。




研究结果



本研究共检索出96531名患者。其中,aLQTS发病率为3.2%(n=3089),中位QTc间期为487 ms;saLQTS发病率为0.7%(n=731),中位QTc间期为514 ms。



值得注意的是,仅29.7%的aLQTS患者就诊于心脏科室,这可能解释了为何在临床实践中许多aLQTS患者被忽略。



在aLQTS组中,患者年龄更大,女性比例更高,合并症更多(包括急性心肌梗死、高血压、糖尿病、心肌病、感染、慢性肾病和恶性肿瘤等),使用延长QT间期药物的比例也更高(尤其是根据CredibleMeds网站分类的A类和C类药物)。



其临床特征详见表1。



表1 院内获得性长QT综合征患者的临床特征图片图片



院内aLQTS患者不良事件(包括心脏骤停、室性心动过速、心室颤动和死亡)发生率为2.8%(86/3089),全因死亡率为1.6%(50/3089)。



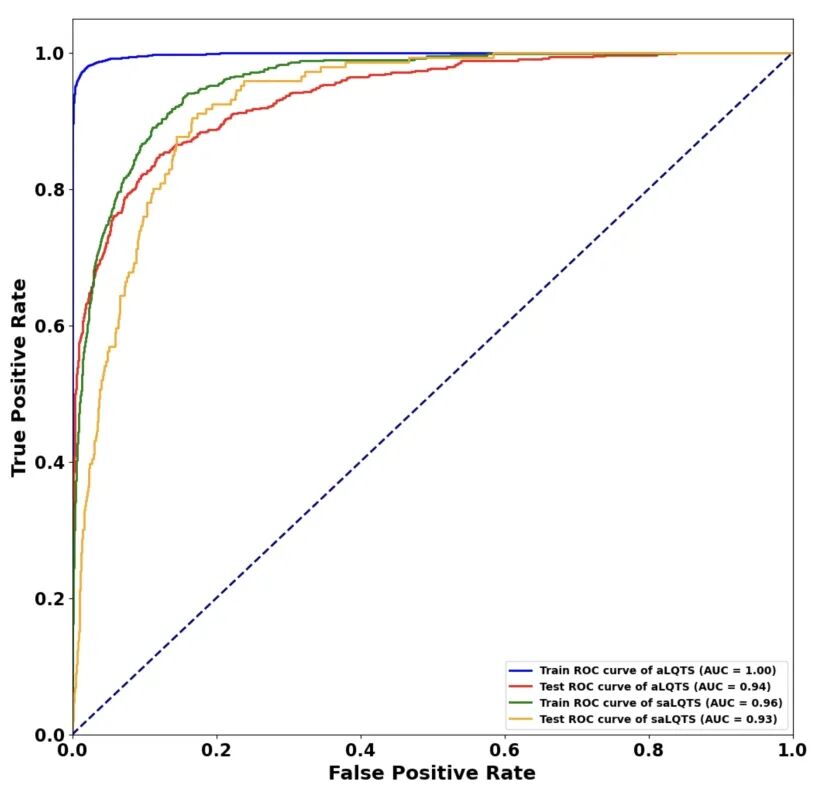
在验证集中,XGBoost模型预测aLQTS的AUC为0.94,预测saLQTS的AUC为0.92(图1)。

 图片 图片

图1 aLQTS和saLQTS患者预测模型的ROC曲线



预测aLQTS敏感性和特异性分别为0.73和0.95,saLQTS分别为0.73和0.90。当敏感性设定为0.80时,预测aLQTS的特异性为0.92,saLQTS为0.89。根据特征重要性,前20位预测特征见图2。

 图片 图片4.png

图2 XGBoost模型的特征重要性(权重法)




研究结论



用于预测aLQTS和saLQTS的XGBoost模型表现出优异的性能,有助于医务人员识别易发生QT间期延长的高危患者,从而主动管理可逆性危险因素。







作者简历





图片


图片



200 评论

查看更多