查看更多
密码过期或已经不安全,请修改密码
修改密码
壹生身份认证协议书
同意
拒绝
同意
拒绝
同意
不同意并跳过
“医生,我体检发现甲状腺上长了个结节,会不会癌变,要不要手术啊?”
这个问题在内分泌科门诊十分常见。的确,甲状腺结节的患病率在逐年增加。通常来说,常规的颈部甲状腺触诊能发现直径1cm以上的结节,而随着超声技术的普及,以及超声图像越来越清晰,很多直径在1cm以下的结节也能被发现。尽管90%以上的甲状腺结节是良性的,大多数无须特殊处理仅需随访,但超声诊断出“甲状腺结节”这种疾病,给患者心理上带来无形的压力。
近期,Clinical Endocrinology发表了一篇关于良性甲状腺结节随访10年的研究,评估其生长情况。文章回顾分析了2007年1月至2009年3月在研究者所在医院接受超声引导下甲状腺结节细针穿刺抽吸活检(fine-needle aspiration cytology,FNA)患者资料。

这项研究除外了囊性结节,对有多个甲状腺结节的患者,只选择单个结节进行FNA。结节显著增长定义为:至少2个结节直径增加20%,最小增加2mm或体积变化超过50%。若复查超声提示结节显著增长则复查FNA。
行FNA的甲状腺结节中77.4%为良性
2007年1月至2009年3月,研究者共收集1248例接受甲状腺细FNA患者的数据,其中966例(77.4%)经病理细胞学检查后诊断为良性结节。在随访期间,289名患者失访,最终纳入677人,其中474名女性和203名男性,平均年龄为45.6岁(16-71岁)。677例患者中,374例为单发结节,410例为实性结节,267例为混合性结节。在所有患者中,657名(97%)受试者出生和生活在意大利北部。
表1 所有纳入患者的基线资料和甲状腺结节特征

10年随访显示,近83%患者甲状腺结节大小保持稳定
经过长达120个月的随访,559名(82.7%)患者的甲状腺结节大小保持稳定;大小变化明显的共117名,其中42名(6.2%)患者出现自发性结节缩小,75名(11.1%)患者出现结节明显生长,其中83%的结节生长发生在最初5年。
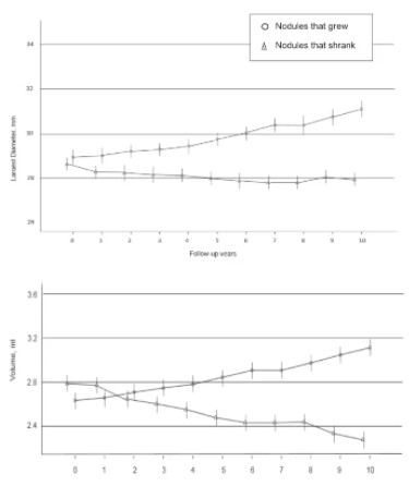
结节明显增大的75名患者复查FNA,结果显示3(4%)名患者病理细胞学检查报告为分化型甲状腺癌。体积增大的甲状腺结节中,最大直径由28.9±8.5mm增加到31.1±7.7mm,平均增加2 mm(P<0.05);体积缩小的甲状腺结节中,最大直径由28.8±7.7mm缩小至27.9±8.0 mm(P<0.001)。如图1所示,结节随时间的大小变化呈线性关系。

图1 随访10年中甲状腺结节最大直径及体积随时间的变化,可见呈线性关系,空心圆圈表示增大结节,空心三角表示缩小结节
根据入组时结节的最大直径和体积对结节进行分层:
D1为19mm,D2为20~29mm,D3为30~39mm,D4为≥40mm;
V1为19.99ml,V2为20~20.99ml,V3为30~30.99ml,V4≥40ml
统计结果显示:D1-4分别占17%、44%、31%和8%,V1-4分别占46%、15%、31%和8%。
推测可能预测甲状腺结节生长的因素均无显著关系
研究者对可能影响结节生长的因素进行logistic回归分析,纳入因素包括性别、年龄、TSH、左甲状腺素治疗、单个结节、结节体积、结节最大直径、低回声和实行结节。将所有预测因素纳入logistic回归模型后发现,这些因素都与结节是否生长无显著关系。
表2 将可能预测甲状腺结节生长的因素纳入Logistic回归模型中,发现与结节生长均无显著关系

研究者也提出文章存在一定局限性,如人种的单一性、性别差异、缺乏甲状腺球蛋白抗体(antithyroglobulin antibody,TgAb)和甲状腺过氧化物酶抗体(antiperoxidase antibody,TPOAb)数据,可能存在碘缺乏的干扰。
争议:甲状腺结节患者多久超声随访?
基于研究结果,研究者建议对良性结节在病理细胞学评估后2~5年进行超声检查,之后每4~5年复查一次。
目前,关于甲状腺结节进行超声随访时间的研究较少,也没有明确的结论。既往2项相关研究分别对良性甲状腺结节随访2~4年和5年,结果显示大多数结节没有增大,恶变或死亡风险极低。
美国甲状腺协会(American Thyroid Association,ATA)指南建议根据不同超声特征,如大小,回声,结节的性质等对病理证实过的良性结节进行分层,对高危良性结节建议6~12个月复查超声,并认为对极低风险的人群可不定期复查超声。
美国临床内分泌学会(American Association of Clinical Endocrinologists,AACE)、美国内分泌学会(American College of Endocrinology,ACE)和意大利临床内分泌协会(Associazione Medici Endocrinologi,AME)建议对良性结节在FNA后12个月复查超声,若结节没有明显变化,则可在24个月后再复查超声。
我国甲状腺结节和分化型甲状腺癌诊疗指南推荐,多数良性甲状腺结节随访间隔时间为6~12个月,暂未接受治疗的可疑恶性或恶性结节可缩短随访间隔。基于我国医疗资源较为丰富,家门口的社区医院也能便捷地进行甲状腺超声检查,加上人民生活水平提高对体检的重视,我国多数甲状腺结节患者遵循6~12月复查甲状腺超声。
作为临床医生对于甲状腺结节超声复查间隔,您怎么看?这项随访10年的研究有可能改写指南吗?
来源:代谢网
查看更多