200
                      
                      评论
                      
                      
                    
                    查看更多
密码过期或已经不安全,请修改密码
修改密码 
            壹生身份认证协议书
同意
拒绝
 
            同意
拒绝
 
            同意
不同意并跳过
 
         
             
             
         
            氯马斯汀
氯马斯汀,抗组胺药,主要制剂为片剂、干混悬剂。
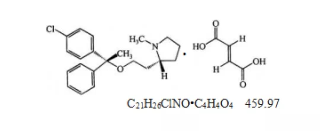
化学结构式

本品为[R-(R*,R*)]-1-甲基-2-[2-[1-(4-氯苯基)-1-苯乙氧基]乙基]吡咯烷(E)-2-丁烯二酸盐。按干燥品计算,含C21H26ClNO•C4H4O4应为98.0%~102.0%。
性状
本品为白色或类白色结晶性粉末;无臭。
本品在甲醇中微溶,在水或三氯甲烷中极微溶解。
比旋度:取本品,精密称定,加甲醇溶解并定量稀释制成每1ml中约含10mg的溶液,依法测定(通则0621),比旋度为+15°至+18°。
药理作用
本药为H1受体拮抗药,能抑制毛细血管的渗透性,可迅速止痒。本药尚具抗胆碱和镇静作用。
药代动力学
本药口服经消化道迅速吸收,服药后30分钟起效,血药浓度于2~5小时达峰,作用可持续12小时,分布于肝、肾、肺、脾等脏器较多。本药t 1/2为21小时,在肝中代谢的单甲基化、双甲基化产物或与葡糖醛酸结合,以代谢物和少量原型药物形式主要由尿和粪便中排泄,少量药物可出现于乳汁中。
适应证
过敏性鼻炎、荨麻疹及其他过敏性皮肤病。
禁忌证
下呼吸道感染(包括哮喘)患者。
贮藏
遮光,密封保存。
本文首发于药圈网 节选自《中国药典》2020年版2部
查看更多