壹生大学

壹生身份认证协议书

本项目是由壹生提供的专业性学术分享,仅面向医疗卫生专业人士。我们将收集您是否是医疗卫生专业人士的信息,仅用于资格认证,不会用于其他用途。壹生作为平台及平台数据的运营者和负责方,负责平台和本专区及用户相关信息搜集和使用的合规和保护。
本协议书仅为了向您说明个人相关信息处理目的,向您单独征求的同意,您已签署的壹生平台《壹生用户服务协议》和《壹生隐私政策》,详见链接:
壹生用户服务协议:
https://apps.medtrib.cn/html/serviceAgreement.html
壹生隐私政策:
https://apps.medtrib.cn/html/p.html
如果您是医疗卫生专业人士,且点击了“同意”,表明您作为壹生的注册用户已授权壹生平台收集您是否是医疗卫生专业人士的信息,可以使用本项服务。
如果您不是医疗卫生专业人士或不同意本说明,请勿点击“同意”,因为本项服务仅面向医疗卫生人士,以及专业性、合规性要求等因素,您将无法使用本项服务。

同意

拒绝

同意

拒绝

知情同意书

同意

不同意并跳过

工作人员正在审核中,
请您耐心等待
审核未通过
重新提交
完善信息
{{ item.question }}
确定
收集问题
{{ item.question }}
确定
您已通过HCP身份认证和信息审核
(
5
s)

重磅发布!柳叶刀最新数据,癌症死亡人数将陡增近75%,但40%或许可以避免

2025-10-03作者:论坛报岳岳资讯
原创

过去30年间,尽管癌症治疗已取得长足进展,癌症风险因素也得到努力控制,但全球癌症病例数和死亡人数仍迅速增加。2025年9月24日,国际权威医学期刊《柳叶刀》(The Lancet)最新发布了一项由全球疾病负担研究癌症协作组领导的重大研究结果。


image.png


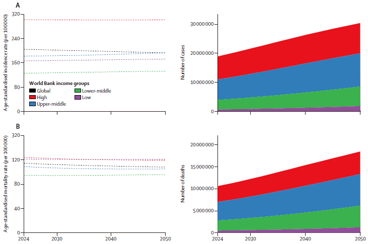
该研究收集了全球204个国家和地区的数据,并预测,若无针对性的措施,2050年将有3050万人新确诊罹患癌症,1860万人死于癌症。这组触目惊心的数字让我们清晰看到了未来癌症防治工作所面临的巨大挑战。


负担持续加重

2050年癌症病例与死亡数将迎来陡增


研究表示,在刚刚过去的2023年,除黑色素瘤皮肤癌外,全球有1850万人新确诊癌症,因癌症死亡的人数达到1040万。


  • 就新发病例而言,癌症负担最重的是乳腺癌、肺癌、结直肠癌、前列腺癌和胃癌;

  • 同期导致全球癌症死亡人数最多的是:肺癌、结直肠癌、胃癌、乳腺癌以及食管癌。


image.png

2023年全球癌症负担(图源丨论文截图)


这些数字也表明,癌症已成为仅次于心血管疾病的第二大死亡原因,对全球公共卫生体系构成了巨大压力。


研究团队通过模型预测了到2050年的情况,结果更为严峻:

  • 新发病例:将从2024年的约1900万例,增长至3050万例,增幅达60.7%。

  • 死亡病例:将从2024年的约1060万例,增长至1860万例,增幅高达74.5%。


image.png

2050年全球癌症负担预测(图源丨论文截图)


“1860万”意味着什么? 这相当于从2024年到2050年,癌症死亡总数将净增约800万。换算到每一天,到2050年,全球因癌症死亡的人数将超过5万人,平均每分钟就有35人被癌症夺去生命。这种增长是现象级的,任何国家和个人都无法置身事外。


人口增长和老龄化是主因

而非癌症本身更凶险


面对癌症病例和死亡人数如此迅猛的增长,人们不禁会问:是不是癌症变得更容易发生、更致命了?研究给出了否定的答案。


报告明确指出,癌症病例和死亡总数急剧上升的主要原因,是人口增长和人口老龄化,而不是年龄标准化发病率的飙升。


这里需要解释一下“年龄标准化率”。它能够消除人口年龄结构差异带来的影响,让我们真正看清疾病风险的变化。


研究发现,从1990年到2023年,在全球范围内虽然癌症总死亡人数增加了74.3%,但经过年龄标准化后的死亡率实际上下降了23.9%。这一成果得益于几十年来在癌症治疗、早期诊断和早期治疗,以及对部分风险因素控制等方面取得的进步。


Originoo_87032_997248_l (1).jpg


打个比方,这就好比一个社区,随着时间推移,老人的比例越来越高。即便每个人患癌的风险(年龄别发病率)没有增加,但社区里患癌的总人数自然会变多。如今,我们的世界正逐渐变成这样一个“老龄化社区”。所以,癌症负担绝对数的增长,在一定程度上是社会发展(寿命延长)带来的“副产品”。但这绝不意味着我们可以掉以轻心,相反,它对医疗卫生系统应对慢性病的能力提出了更高的要求。


并非完全不可预防,

超40%的癌症死亡本可避免


在揭示了严峻的总体趋势后,这项研究指出了一个充满希望的方向:癌症并非完全不可预防。


2023年,全球有41.7%(约430万)的癌症死亡,可归因于研究中涉及的、理论上可以改变的风险因素


也就是说,在当年所有因癌症去世的1040万人中,有超过430万人的生命,本有可能通过有效的预防措施得以挽救。 这凸显了“防大于治”在抗击癌症中的重要性。


风险排行榜:烟草“独占鳌头”,饮食代谢问题突出

通过对44种行为、环境、代谢风险因素的深入分析,研究人员量化了它们对癌症死亡的具体“贡献”。


研究将风险因素分层级呈现,其中第一级(Level 1)风险类别包括行为、环境/职业和代谢因素。而在更具体的第二级(Level 2)风险因素中,以下几个尤为突出。


吸烟

烟草的危害不辩自明,数据表明,烟草使用单独与21%的全球癌症死亡相关(即约218万人)。它通过其含有的多种致癌物,显著增加包括口腔癌、喉癌、食管癌、胰腺癌、膀胱癌、肾癌、白血病、宫颈癌等十多种癌症的风险。戒烟是个人所能采取的最有效的防癌措施。

饮食与代谢风险

水果、蔬菜、膳食纤维摄入不足以及红肉、加工肉类摄入过多等不健康的饮食习惯以及糖尿病、超重、肥胖等代谢疾病与癌症密切相关。这些因素往往相互交织,共同作用。不良饮食习惯和肥胖会引发慢性炎症、胰岛素抵抗等体内环境变化,长期来看为癌症发生提供了“土壤”。

饮酒

酒精在体内代谢产生的乙醛是一类致癌物。饮酒会增加口腔癌、咽癌、食管癌、肝癌、结直肠癌和乳腺癌的风险。研究表明,不存在“安全”的饮酒量,即使少量饮酒也会增加风险。

空气污染与职业致癌物暴露

环境中的颗粒物污染(PM2.5)以及特定职业环境中接触的石棉、砷、柴油发动机废气等,是肺癌等疾病的重要风险因素。

研究还揭示了风险负担的性别差异
  • 男性:癌症死亡中可归因于风险因素的比例更高,达46%。这与男性中吸烟率、饮酒率通常更高以及更多从事高风险职业有关。

  • 女性:这一比例为36%。除了烟草和饮食因素外,不安全性行为(导致HPV持续感染,进而引发宫颈癌等)是女性需要特别关注的风险。

实际可预防的癌症比例可能更高!

研究者特别指出,由于数据所限,本次分析未包括一些与癌症明确相关的感染因素,如幽门螺杆菌(可致胃癌)、血吸虫(可致膀胱癌)等,而这些因素在部分地区,尤其是一些低收入国家较为常见。


因此,实际可通过干预风险因素避免的癌症死亡比例,可能比41.7%更高。


癌症预防,我们应该怎么做?


癌症预防可以分为一级预防、二级预防和三级预防。


  • 一级预防也称病因预防,主要是为了鉴别、消除危险因素和病因,预防癌症的发生,降低患癌风险。


  • 二级预防应做到早发现、早诊断、早治疗。方法主要有防癌体检,做好癌症的筛检普查,监测高危人群,提高早期诊断能力,根治癌前病变。


  • 三级预防针对的是肿瘤患者,主要指通过规范化多学科综合治疗,提高中、晚期肿瘤患者的生存率,改善患者生活质量,预防肿瘤复发和转移。


如果大家能够增强防癌意识,保持健康的生活方式,就能从源头上预防至少三分之一的癌症,也就是一级预防。


健康生活方式不能避免所有癌症的发生,但是大量研究证实,任何以养成健康生活方式为目的的改变都将在一定程度上降低癌症风险。那么,大家在日常生活中如何远离癌症呢?


01

改变不良生活方式




戒烟限酒、平衡膳食、适量运动、心情舒畅,可以有效预防部分癌症的发生。以健康饮食为例,提倡少食多餐、少盐多淡、少陈多鲜、少硬多软、少肉多素、少酒多茶、少炸多炖、少烫多温、少熏多炒等。

02

关注致癌因素




癌症不会传染,但一些与癌症发生密切相关的细菌(如幽门螺杆菌)、病毒(如人乳头瘤病毒、肝炎病毒、EB病毒等)是会传染的。要保持个人卫生和健康的生活方式,比如推行使用公筷,预防幽门螺杆菌感染。

03

远离身边的致癌物




在我们身边有许多明确的致癌物,例如甲醛、黄曲霉毒素、亚硝酸盐等。注意避免食用发霉的食物,少食用油炸和腌制的食物。

04

接种疫苗




接种人乳头瘤病毒疫苗可预防宫颈癌等多种癌症。接种乙肝疫苗可预防乙型肝炎病毒感染,而乙肝正是肝癌发生的高危因素。接种疫苗可以避免感染相关的细菌和病毒,建议尽早及时接种。

05

保持乐观心态




好的心态是预防和抗击癌症的良药。保持情绪乐观有利于维持正常、合理的生活状态。

06

选择个体化防癌体检




目前的医疗检验技术手段可以在早期发现大部分的常见癌症,比如胸部低剂量螺旋CT可以筛查肺癌,超声结合钼靶可以筛查乳腺癌,胃肠镜可以筛查消化道癌等。选择个体化体检项目是提高癌症早诊率的关键。


癌症筛查攻略要收好


除了做好防癌体检,大家还要警惕癌症的早期症状。癌症的治疗效果和患者生存时间与癌症发现的早晚密切相关。越早发现癌症,患者治疗效果越好、生存时间越长。


下面这份癌症筛查攻略一定要收好!


综合整理自《柳叶刀》、中国医学论坛报今日肿瘤往期内容、央视新闻等。


200 评论

查看更多