壹生大学

壹生身份认证协议书

本项目是由壹生提供的专业性学术分享,仅面向医疗卫生专业人士。我们将收集您是否是医疗卫生专业人士的信息,仅用于资格认证,不会用于其他用途。壹生作为平台及平台数据的运营者和负责方,负责平台和本专区及用户相关信息搜集和使用的合规和保护。
本协议书仅为了向您说明个人相关信息处理目的,向您单独征求的同意,您已签署的壹生平台《壹生用户服务协议》和《壹生隐私政策》,详见链接:
壹生用户服务协议:
https://apps.medtrib.cn/html/serviceAgreement.html
壹生隐私政策:
https://apps.medtrib.cn/html/p.html
如果您是医疗卫生专业人士,且点击了“同意”,表明您作为壹生的注册用户已授权壹生平台收集您是否是医疗卫生专业人士的信息,可以使用本项服务。
如果您不是医疗卫生专业人士或不同意本说明,请勿点击“同意”,因为本项服务仅面向医疗卫生人士,以及专业性、合规性要求等因素,您将无法使用本项服务。

同意

拒绝

同意

拒绝

知情同意书

同意

不同意并跳过

工作人员正在审核中,
请您耐心等待
审核未通过
重新提交
完善信息
{{ item.question }}
确定
收集问题
{{ item.question }}
确定
您已通过HCP身份认证和信息审核
(
5
s)

研究发现:周末补觉可以防抑郁,还能护肝、护心!这下有理由睡懒觉了!

2026-02-21作者:论坛报小塔资讯
非原创

近日,一项发表于《情感障碍杂志》的研究显示,青少年如果在周末补回工作日缺失的睡眠,可能有助于改善心理健康状况。研究发现,在16~24岁的年轻群体中,周末补觉的人出现抑郁症状的风险,比不补觉的人低41%。



该研究首次聚焦美国普通青少年的周末补觉情况,此前相关研究对象多为中国和韩国的学龄青少年。对美国青少年而言,工作日睡眠不足是普遍现象。学业、社交、课外活动及社会兼职等事务挤占了他们的时间与精力,导致睡眠时长缩水。


论文共同通讯作者、俄勒冈大学的梅琳达·卡斯门特(Melynda Casement)表示:“长期以来,睡眠研究专家与临床医生都建议,青少年每天保持规律作息,睡眠时长达到8至10小时,但对许多青少年乃至大多数人而言,这一标准并不现实。”


研究人员强调,每晚睡满8至10小时依然是理想状态,但如果实在无法实现,那么周末睡个懒觉或许有助于降低抑郁症状的发生风险。



“青少年本身就容易养成熬夜的习惯。”Casement说,“如果他们工作日实在睡不够,不妨在周末补觉。这种方式大概率能起到一定的心理保护作用。”

研究人员分析了2021至2023年“全美健康与营养检查调查”中16~24岁人群的数据。这些年轻人需要报告自己工作日与周末的入睡及起床时间,研究人员据此计算出他们的周末补觉时长,即周末日均睡眠时长与工作日日均睡眠时长的差值。


此外,参与者还需反馈自身情绪状态,如果自我报告称每天都感到悲伤或抑郁,即被判定为存在抑郁症状。


Casement指出,抑郁是16岁~24岁人群致残的主要原因之一。这里的“残疾”定义较为宽泛,指日常功能受损。“这使得这一年龄段成为研究抑郁风险因素,以及探索风险因素与干预措施关联性的重点关注对象。”


人体的睡眠周期又称昼夜节律,进入青春期后,这一节律开始发生变化,使得大多数青少年难以像童年时期那样早睡。


Casement解释说:“青少年会从‘早起的百灵鸟’逐渐变成‘熬夜的夜猫子’,入睡时间会不断推迟,这一趋势将持续到18~20岁。过了这个阶段后,他们的作息才会再次向‘早起模式’倾斜。”


青少年的理想作息是晚上11点左右入睡、早上8点左右起床,但这与美国许多高中较早的上课时间相冲突。正因如此,许多睡眠专家与医疗从业者都支持“推迟上学时间”的公共健康倡议。


周末补觉好处多





01


降低脂肪肝风险




Ann Hepatology杂志上发表的一项研究,发现周末补觉竟然对缓解非酒精性脂肪性肝病(NAFLD)有着意想不到的益处!


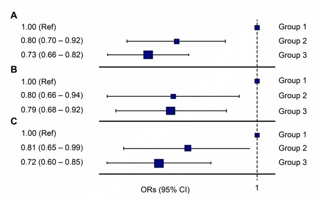
研究人员通过筛选KNHANES中有关睡眠时间的数据时发现,与平均每日睡眠<7小时相比,平均每日睡眠≥7小时与NAFLD风险呈负相关。让研究人员惊讶的是,将睡眠时间分为工作日和周末进行分析时显示,即使平均工作日睡眠<7小时,但周末睡眠≥7小时也能显著降低NAFLD风险达27%,且这种获益不受性别因素的影响(如图1)。


图 各组(组1~3分别为:平均每日睡眠<7小时组、平均每日睡眠≥7小时组及平均工作日睡眠<7小时,但周末睡眠≥7小时组)与NAFLD风险相关性(A~C分别代表总人群、男性及女性)


02


降低心血管疾病风险





2023年11月,南京医科大学的研究人员在Sleep Health杂志上发表了一篇题为" Association between weekend catch-up sleep and cardiovascular disease:Evidence from the National Health and Nutrition Examination Surveys 2017-2018 "的研究论文。


研究显示,对于工作日睡眠不足的人(<6小时)来说,周末补觉超过2个小时,与心血管疾病风险降低70%相关。然而,对于工作日睡眠时间超过8小时的人,周末补觉超过2小时反而增加患心血管疾病的风险。


研究人员分析了美国健康和营养检查调查(NHANES)队列中3400名成年参与者,其中333人患有心血管疾病(CVD),分析了周末补觉与心血管疾病之间的关系。


研究发现,与周末不补觉的人相比,在周末补觉超过2小时的人,患心血管疾病风险降低63%。


当研究人员将周末补觉分为1~2小时和超过2小时发现,周末补觉超过2小时且工作日睡眠时间小于6小时的人,患心血管疾病风险降低70%。


总的来说,周末补觉并非 “偷懒”,而是一种简单易行的健康调节方式。尤其对于学业与生活压力交织的群体而言,在无法保证工作日规律作息的情况下,适度的周末补觉既能为心理健康筑牢防线,也能在一定程度上降低心血管疾病、非酒精性脂肪性肝病等慢病风险。


来源:整理自中国科学报、医诺维、医学界


200 评论

查看更多