壹生大学

壹生身份认证协议书

本项目是由壹生提供的专业性学术分享,仅面向医疗卫生专业人士。我们将收集您是否是医疗卫生专业人士的信息,仅用于资格认证,不会用于其他用途。壹生作为平台及平台数据的运营者和负责方,负责平台和本专区及用户相关信息搜集和使用的合规和保护。
本协议书仅为了向您说明个人相关信息处理目的,向您单独征求的同意,您已签署的壹生平台《壹生用户服务协议》和《壹生隐私政策》,详见链接:
壹生用户服务协议:
https://apps.medtrib.cn/html/serviceAgreement.html
壹生隐私政策:
https://apps.medtrib.cn/html/p.html
如果您是医疗卫生专业人士,且点击了“同意”,表明您作为壹生的注册用户已授权壹生平台收集您是否是医疗卫生专业人士的信息,可以使用本项服务。
如果您不是医疗卫生专业人士或不同意本说明,请勿点击“同意”,因为本项服务仅面向医疗卫生人士,以及专业性、合规性要求等因素,您将无法使用本项服务。

同意

拒绝

同意

拒绝

知情同意书

同意

不同意并跳过

工作人员正在审核中,
请您耐心等待
审核未通过
重新提交
完善信息
{{ item.question }}
确定
收集问题
{{ item.question }}
确定
您已通过HCP身份认证和信息审核
(
5
s)

糖尿病患者做好这6点,可延寿6~9年,寿命与常人相当

2026-01-25作者:论坛报苌田田资讯
非原创

2025年4月,国际糖尿病联盟(IDF)发布了第11版《糖尿病地图》。数据显示,2024年全球成人(20~79岁)糖尿病患病率为11.1%,国家间差异较大。中国成人糖尿病患病率为11.9%,患者数量1.48亿,是糖尿病患者数量最多的国家。

大量研究显示,2型糖尿病会显著降低患者预期寿命,40~60岁人群一旦罹患2型糖尿病,平均寿命缩短4~10年,并且心血管、肾脏及癌症死亡风险升高1.3~3倍。

尽管指南推荐了多项风险因素的控制目标,但真正达标的人少之又少。此外,也不清楚达到这些目标究竟能带来多少寿命延长。

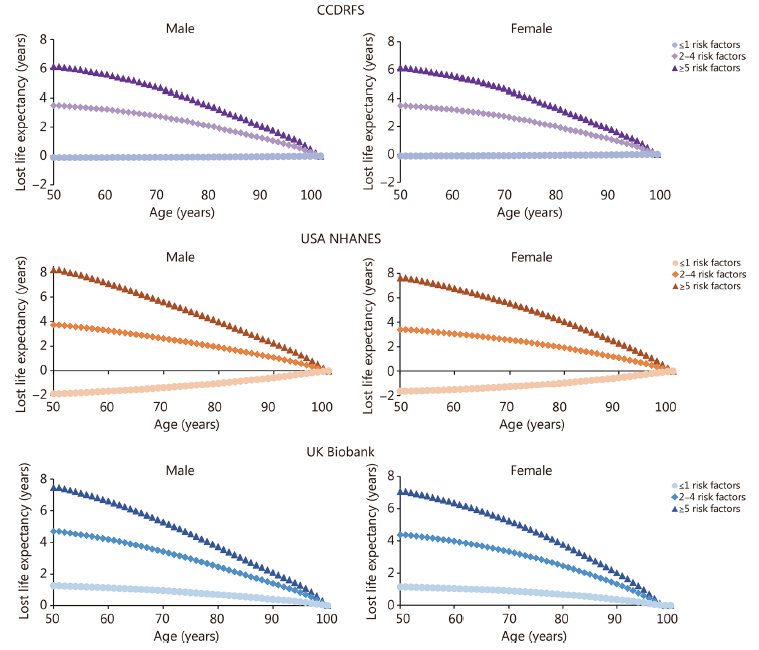
近日,华中科技大学联合中国疾控中心研究团队发表的一项研究显示,2型糖尿病患者控制好6大因素,其预期寿命可大幅延长,50岁时的预期寿命延长6~9年,最终寿命与常人相当。

这6大因素包括3个健康生活行为因素:不吸烟、规律运动、健康饮食,以及3个代谢指标达标:血糖、血压和血脂达标。


在这项研究中,研究团队分析了中国、美国和英国超4.6万例糖尿病患者的数据,分析了控制6个因素对2型糖尿病患者预期寿命的影响,包括3个健康生活方式因素:不吸烟、规律运动(每周≥150分钟体力活动)、健康饮食(核心为足量果蔬、限制红肉),以及3个代谢指标:血糖、血压、血脂。

结果发现,在50岁时,6个因素里只有1个或0个不达标者,其预期寿命与健康人几乎没有差异。

与仅有1个或0个达标者相比,5~6个因素控制达标者,在50岁时,预期寿命延长6~9年。

控制因素数量与预期寿命关联


进一步分析发现,健康生活方式带来的寿命增益,甚至可能超过单纯的代谢指标达标。即使血糖、血压、血脂未完全达标,坚持不吸烟、规律运动、健康饮食仍可带来2~4.2年寿命增益。相反,仅靠药物达标但生活方式不健康者,寿命反而短1.5~3.4年。

研究还发现,在所有参与者中,能同时有5~6个因素达标的人比例极低,中国为16%,美国为9.9%,英国仅为6.8%,这凸显了当前糖尿病综合管理的巨大挑战和提升空间。

研究团队表示,糖尿病管理不能只盯着血糖,少抽一支烟、多运动一次,都可能改善糖尿病患者生活质量,甚至延长寿命。

对于广大2型糖尿病患者及其家人,这项研究传递了一个重要的信息——疾病的进程和结局,在很大程度上可以通过积极的自我管理来改变。坚持健康的生活习惯,并配合治疗管理,是通往更长寿、更健康生活的切实路径。


来源:医诺维

200 评论

查看更多