壹生大学

壹生身份认证协议书

本项目是由壹生提供的专业性学术分享,仅面向医疗卫生专业人士。我们将收集您是否是医疗卫生专业人士的信息,仅用于资格认证,不会用于其他用途。壹生作为平台及平台数据的运营者和负责方,负责平台和本专区及用户相关信息搜集和使用的合规和保护。
本协议书仅为了向您说明个人相关信息处理目的,向您单独征求的同意,您已签署的壹生平台《壹生用户服务协议》和《壹生隐私政策》,详见链接:
壹生用户服务协议:
https://apps.medtrib.cn/html/serviceAgreement.html
壹生隐私政策:
https://apps.medtrib.cn/html/p.html
如果您是医疗卫生专业人士,且点击了“同意”,表明您作为壹生的注册用户已授权壹生平台收集您是否是医疗卫生专业人士的信息,可以使用本项服务。
如果您不是医疗卫生专业人士或不同意本说明,请勿点击“同意”,因为本项服务仅面向医疗卫生人士,以及专业性、合规性要求等因素,您将无法使用本项服务。

同意

拒绝

同意

拒绝

知情同意书

同意

不同意并跳过

工作人员正在审核中,
请您耐心等待
审核未通过
重新提交
完善信息
{{ item.question }}
确定
收集问题
{{ item.question }}
确定
您已通过HCP身份认证和信息审核
(
5
s)

从 ABO 基因到血栓风险:Blood 最新研究揭示 ABO 转移酶 (BGAT) 的关键作用

2026-01-19作者:论坛报小璐资讯
非原创


非O血型是静脉血栓栓塞症 (VTE) 的一个已知危险因素,其机制是由于ABO基因座的编码产物:组织血型ABO系统转移酶 (BGAT) 会对与VTE系统相关的止血系统关键蛋白,血管性血友病因子 (VWF) 进行糖基化,且非O血型的单倍型表现出更高的BGAT水平。然而,BGAT的血浆水平与VTE风险之间的关联仍不清楚。2025年5月,由来自挪威北极大学等机构研究人员在Blood发表题为“Histo-blood group ABO system transferase plasma levels and risk of future venous thromboembolism: The HUNT Study”的研究发现,血浆组织血型ABO系统转移酶水平升高与未来静脉血栓栓塞的风险增加有关。

图片


研究设计



本研究的对象主要来自特伦德拉格健康研究第三次调查 (HUNT3),该调查于2006至2008年间进行,共有50,800人参与。研究人员从中记录并选取了在随访的前五年内的所有新发VTE事件对象 (n=294),并随机抽取了一个年龄和性别加权的子队列(n=1,066)进行研究。对2006-2008年获取的基线血浆样本进行了蛋白质检测及ABO基因分型。 

图片

图1 研究流程图



研究结果





1. 研究人群的基线特

对于研究子队列 (n=1,066),按BGAT水平划分的四组在基线特征上未表现出明显差异,仅在最高四分位数组中的 CRP 水平较低。对于VTE患者(n=294),男性的比例略高于子队列成员,而平均eGFR在病例中略低于子队列成员。在VTE事件中,61%是有明确诱因的VTE,19%为癌症相关VTE。

表1 研究子队列中BGAT血浆水平四分位数基线特征

图片

表2 静脉血栓栓塞症 (VTE) 患者的特点

图片

2. 单倍型关联分析: ABO基因单倍型对血浆BGAT水平的影响

在子队列中,每携带一个 A1 或 A2 单倍型均显著增加 BGAT 水平,且二者的效应相近,而每携带一个B单倍型对BGAT的正向作用稍弱,O2单倍型的β系数为负值。ABO单倍型可以解释约80%的血浆BGAT变异性。当根据ABO双倍型分析血浆BGAT水平时,A1A1、A2A2和BB双倍型的BGAT水平大约是A1O1、A2O1和BO1双倍型的两倍。

图片

图2 ABO单倍型对血浆BGAT水平的影响

图片

附图 ABO双倍型对血浆BGAT水平的影响



3. 血浆BGAT水平与VTE风险之间的关联

与最低四分位数 (参考组) 相比,BGAT 水平处于第三分位数和第四分位数的个体,其发生 VTE 的风险分别为 2.58 倍 (95% CI: 1.71–3.89) 和 2.12 倍(95% CI: 1.39–3.22),提示随着 BGAT 水平升高,VTE 风险呈上升趋势。研究评估了从血样采集至完成 5 年随访期间,BGAT 最高与最低四分位数组之间的风险比 (HR) 随时间的变化情况。结果发现,总体 VTE 的 HR 在随访约 1.5 年后趋于稳定,维持在 2.0~2.5 左右。进一步亚组分析,BGAT水平与血栓风险之间的关联在无诱因VTE和DVT中尤为显著。在校正BMI、CRP和eGFR后,总体VTE风险并未显著改变。

表3 血浆BGAT水平与VTE风险之间的关联

图片

图片

图3 VTE 风险比(HR)随随访时间变化的关系



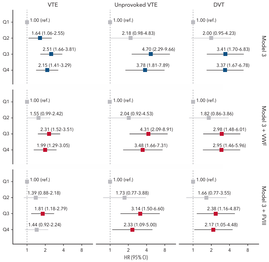
4. 校正VWF和FⅧ后血浆BGAT水平与VTE风险之间的关联

鉴于非O血型增加VTE风险的一个潜在机制,是通过BGAT对止血系统中的关键蛋白——血管性血友病因子 (VWF) 进行糖基化。VWF上A和B抗原表达水平的升高,进而与凝血因子Ⅷ (FVIII) 水平增加相关。因此,研究进一步在 VTE 风险模型中分别校正 VWF 和 FVIII,以评估校正后 BGAT 与 VTE 风险关联的变化。校正 VWF 水平后,BGAT 与 VTE 风险之间的关联有所减弱,为1.99 (95%CI: 1.30-3.05)。校正 FVIII 后,该关联的削弱更为明显,HR降至1.44 (95%CI: 0.92-2.24)。

由于 BGAT 与 VTE 风险之间的关联在无诱因VTE和DVT风险上特别明显,故进行了亚组分析。与整体VTE 相似,通过额外校正FVIII后风险估计值尤其减弱,但仍然对无诱因VTE和DVT都显著关联,最高 BGAT 四分位数相对于最低四分位数的 HR 分别为 2.33 (95% CI: 1.09-5.00) 和 2.17 (95% CI:1.05-4.48)。

图片

图4 校正 VWF 和 FVIII 后 BGAT 水平与 VTE 风险的关联


小结


在这项病例-队列研究中,研究发现较高的血浆BGAT水平与VTE风险增加相关,尤其是在DVT和无诱因VTE中更为显著。在校正了VWF和FVIII水平后,这一关联仍然存在。因此,需考虑将BGAT水平纳入VTE风险评估,血型决定基因可能在VTE的发病机制中发挥重要作用。


来源 中日肺血管


200 评论

查看更多