查看更多
密码过期或已经不安全,请修改密码
修改密码
壹生身份认证协议书
同意
拒绝
同意
拒绝
同意
不同意并跳过
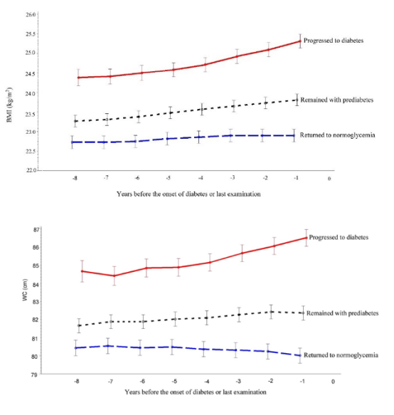
一个处于糖尿病前期的人,未来发展不外乎三种状况:进展为糖尿病;仍处于糖尿病前期;实现逆转,恢复正常血糖水平。
这三种不同方向发展的糖尿病前期患者,有什么特点?
一项日本研究对2.3万名糖尿病前期患者追踪了8年,发现只要体重增加,情形就不妙。
研究显示,进展为糖尿病者,其体质指数增长约是维持糖尿病前期状态者的3倍(每年增加:0.20kg/m2 对 0.06 kg/m2),腰围增加值前者约是后者的7倍(0.38 cm/y对0.05 cm/y)。
而实现逆转的糖尿病前期的患者,其中原来不胖的人8年来体质指数和腰围几乎保持不变,原来胖的人则体质指数明显降低,肚子大的人腰围也明显缩小。
研究者指出,该研究证实,不论原来胖不胖,避免体重增加是糖尿病前期人群降低罹患糖尿病风险的好办法。

图1 三种发展情况的糖尿病前期患者的体质指数和腰围变化轨迹
而近日,一项发表在JAMA子刊上的糖尿病预防研究则为日本这项研究作了脚注。
这项研究显示,对于糖尿病前期人群,即使体重仅仅减轻2~3 kg,并在两年内加强体育锻炼,就可将罹患糖尿病的风险降低40%~47%。
著名的大庆研究曾显示,在不进行生活方式及药物干预的情况下,糖尿病前期患者6年发展为2型糖尿病的概率为65.8%,20年2型糖尿病发生率为92.8%;而进行生活方式干预的糖尿病前期患者2型糖尿病6年和20年发生率分别为42.8%、79.7%。
不论如何,健康的生活方式,健康的体重,是预防糖尿病的重中之重。
来源:
[1]Japan Epidemiology Collaboration on Occupational Health Study Group. Trajectories of body mass index and waist circumference before the onset of diabetes among people with prediabetes. Clin Nutr. 2020 Sep;39(9):2881-2888.
[2]Sampson M, Clark A, Bachmann M,et al.Norfolk Diabetes Prevention Study (NDPS) Group. Lifestyle Intervention With or Without Lay Volunteers to Prevent Type 2 Diabetes in People With Impaired Fasting Glucose and/or Nondiabetic Hyperglycemia: A Randomized Clinical Trial. JAMA Intern Med. 2020 Nov 2:e205938. doi: 10.1001/jamainternmed.2020.5938.
转自:中国循环杂志
查看更多