壹生大学

壹生身份认证协议书

本项目是由壹生提供的专业性学术分享,仅面向医疗卫生专业人士。我们将收集您是否是医疗卫生专业人士的信息,仅用于资格认证,不会用于其他用途。壹生作为平台及平台数据的运营者和负责方,负责平台和本专区及用户相关信息搜集和使用的合规和保护。
本协议书仅为了向您说明个人相关信息处理目的,向您单独征求的同意,您已签署的壹生平台《壹生用户服务协议》和《壹生隐私政策》,详见链接:
壹生用户服务协议:
https://apps.medtrib.cn/html/serviceAgreement.html
壹生隐私政策:
https://apps.medtrib.cn/html/p.html
如果您是医疗卫生专业人士,且点击了“同意”,表明您作为壹生的注册用户已授权壹生平台收集您是否是医疗卫生专业人士的信息,可以使用本项服务。
如果您不是医疗卫生专业人士或不同意本说明,请勿点击“同意”,因为本项服务仅面向医疗卫生人士,以及专业性、合规性要求等因素,您将无法使用本项服务。

同意

拒绝

同意

拒绝

知情同意书

同意

不同意并跳过

工作人员正在审核中,
请您耐心等待
审核未通过
重新提交
完善信息
{{ item.question }}
确定
收集问题
{{ item.question }}
确定
您已通过HCP身份认证和信息审核
(
5
s)

王拥军院士团队创新性提出脑龄指标可有效预测卒中复发

2026-01-10作者:论坛报寒夜资讯
非原创


近日,首都医科大学附属北京天坛医院王拥军院士团队联合北京航空航天大学刘涛教授团队在npj Digital Medicine发表了题为“Deep learning-based brain age predicts stroke recurrence in acute ischemic cerebrovascular disease”的研究论文。

该研究创新性地提出一种专用于急性缺血性卒中患者的基于掩码的脑龄预测模型(MBA Net),通过分析非梗死脑区的背景脑龄(CBA),首次揭示脑龄差(BAG)与卒中复发风险之间的显著关联:该BAG每增加1岁,3个月卒中复发风险升高9%,5年卒中复发风险升高7%。更值得关注的是,该指标可独立预测短期(3个月)及中长期(1~5年)卒中复发风险,且预测效能显著优于实际年龄。




图片


急性缺血性脑血管病(AICVD)具有高复发风险,临床亟需可量化的精准风险分层工具以优化二级预防策略。大量证据表明,衰老是AICVD发病、复发及功能预后不良的重要危险因素。然而,实际年龄仅反映时间的线性累积,难以捕捉个体间脑老化程度的异质性。


脑龄是一种基于神经影像与人工智能算法估计的大脑“生物学年龄”指标。个体脑龄与其实际年龄之差,即BAG,可量化大脑衰老偏离正常轨迹的程度,已被广泛应用于脑健康评估及多种神经精神疾病风险的预测。相比之下,在脑血管病领域,尤其是BAG与卒中复发风险关联的研究仍十分有限。


鉴于AICVD的复发事件集中于急性期,且国内外临床指南均推荐符合适应证的患者在该阶段尽早启动抗血小板治疗,因此,在这一关键窗口期探究BAG与卒中复发风险的关联具有重要的临床意义。既往脑龄研究多采用全脑评估策略,但在卒中急性期,梗死核心区呈动态演变,且受发病至影像检查时间窗、个体病灶进展速率等多种混杂因素影响,导致全脑脑龄估计在急性期波动较大,严重限制了其临床应用。


图片

图1 研究方案概览


针对这一关键瓶颈,研究团队提出MBA Net,通过自动屏蔽急性梗死区域,仅利用非梗死脑区计算CBA,有效规避病灶干扰,显著提升了急性期脑龄评估的稳定性与临床适用性。


依托MBA-Net框架,研究团队在中国国家卒中登记-Ⅲ(CNSR-Ⅲ)队列中对具备T2加权液体衰减反转恢复序列(T2-FLAIR)及弥散加权成像(DWI)数据的AICVD患者进行了分析。


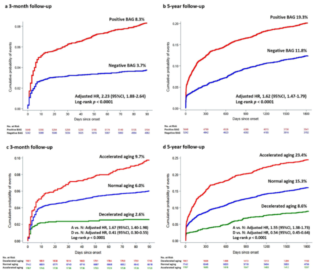
结果显示,BAG每增加1年,3个月卒中复发风险升高9%[调整后风险比(aHR)1.09,95%置信区间(CI)1.07~1.11],5年卒中复发风险升高7%(aHR 1.07,95%CI 1.06~1.08)。BAG对卒中复发的预测能力独立于传统危险因素,且显著优于实际年龄(3个月:C统计量 0.65 对 0.60,P<0.0001;5年:C统计量 0.66 对 0.62,P<0.0001)。进一步将BAG整合至临床风险预测模型后,模型判别效能显著提升(3个月:ΔC统计量 0.06,净重分类改进指数(NRI)0.21,综合判别改进指数(IDI)0.01;5年:ΔC统计量 0.03,NRI 0.22,IDI 0.02)。



图片

图2 脑龄差(BAG)每增加一年与卒中复发风险的关联


图片

图3 按脑龄差(BAG)分组的卒中复发累计发病率[图3a、3b:BAG二分类(BAG>0:红色曲线;BAG≤0:蓝色曲线);图3c、3d:BAG三分类(加速老化:红色曲线;正常老化:蓝色曲线;延缓老化:绿色曲线)]



综上所述,该研究不仅为脑老化与卒中复发之间的关联提供了实证支持,更构建了可在急性期直接应用于临床实践的精准预测指标。

作为一种基于放射组学的创新生物标志物,BAG可通过常规磁共振成像(MRI)快速获取,有望推动人工智能技术在卒中精准二级预防中的转化与落地。






END



来源 首都医科大学
200 评论

查看更多