壹生大学

壹生身份认证协议书

本项目是由壹生提供的专业性学术分享,仅面向医疗卫生专业人士。我们将收集您是否是医疗卫生专业人士的信息,仅用于资格认证,不会用于其他用途。壹生作为平台及平台数据的运营者和负责方,负责平台和本专区及用户相关信息搜集和使用的合规和保护。
本协议书仅为了向您说明个人相关信息处理目的,向您单独征求的同意,您已签署的壹生平台《壹生用户服务协议》和《壹生隐私政策》,详见链接:
壹生用户服务协议:
https://apps.medtrib.cn/html/serviceAgreement.html
壹生隐私政策:
https://apps.medtrib.cn/html/p.html
如果您是医疗卫生专业人士,且点击了“同意”,表明您作为壹生的注册用户已授权壹生平台收集您是否是医疗卫生专业人士的信息,可以使用本项服务。
如果您不是医疗卫生专业人士或不同意本说明,请勿点击“同意”,因为本项服务仅面向医疗卫生人士,以及专业性、合规性要求等因素,您将无法使用本项服务。

同意

拒绝

同意

拒绝

知情同意书

同意

不同意并跳过

工作人员正在审核中,
请您耐心等待
审核未通过
重新提交
完善信息
{{ item.question }}
确定
收集问题
{{ item.question }}
确定
您已通过HCP身份认证和信息审核
(
5
s)

陈明团队最新成果:抗纤维化药“跨界”成功,为放疗患者穿上“肺防护服”

2025-11-11作者:论坛报晶资讯
原创

2025年11月6日,中山大学肿瘤防治中心放疗科陈明教授团队在国际知名肿瘤学期刊《柳叶刀·肿瘤学》(The Lancet Oncology)发表了题为吡非尼酮治疗2~3度放射性肺损伤的有效性及安全性:一项多中心开放性随机Ⅱ期试验的研究。该研究是一项多中心、随机对照、Ⅱ期临床试验,首次证实“吡非尼酮”治疗肿瘤患者2~3度放射性肺损伤的安全性和有效性,为放射性肺损伤的抗纤维化治疗提供了最新的有力证据,有望改变临床实践,为该患者群体提供治疗的新选择!


放射性肺损伤数十年悬而未解之局


放射性肺损伤(RILI)是肿瘤患者胸部放疗最常见的剂量限制性毒性。放射性肺损伤多数发生在患者放疗结束后6个月内,以肺癌放疗患者的发病率较高(5%~25%)。放射性肺损伤常表现为咳嗽、胸闷、气短、发热等,早期为放射性肺炎(RP),后期可进展为放射性肺纤维化(RPF),明显影响患者生活质量和预后。目前,经验性使用糖皮质激素是临床常规治疗方案,但其主要作用于急性炎症阶段,对已形成纤维化的疗效有限。过去二十余年间,氨磷汀、己酮可可碱、尼达尼布等药物均曾被尝试用于放射性肺损伤的治疗,然而受限于样本量小且疗效不明确,均未获得国际指南的推荐。至今,针对放射性肺损伤的有效抗纤维化治疗仍缺乏循证依据,临床需求亟待填补。


放射性肺损伤的病理生理过程


吡非尼酮“跨界”放疗,放射性肺损伤抗纤新策略

吡非尼酮为口服小分子抗纤维化药,已被美国食品和药物管理局(FDA)批准用于特发性肺纤维化(IPF)。研究表明,放射性肺损伤的病理生理机制与IPF相似,两者均以特定的靶细胞或分子通路为特征,尤其是TGF-β信号通路。基于此,陈明教授团队牵头,联合全国共10家单位,开展多中心随机对照Ⅱ期临床试验,评估吡非尼酮在2-3度放射性肺损伤患者的有效性及安全性。


该项研究于2021年11月至2023年12月期间共入组134例2-3度放射性肺损伤患者,按1:1比例随机分配至对照组或吡非尼酮组。对照组给予糖皮质激素为主的标准治疗,试验组给予吡非尼酮联合标准治疗。本研究的主要研究终点是从基线到第24周时一氧化碳肺弥散量百分比的变化(DLCO%);次要研究终点指标包括第24周FVC%、FEV1%的变化和无急性肺加重的生存率(APEFS)等。


研究设计


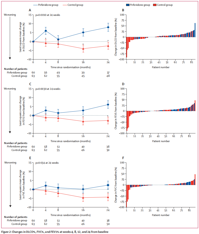
研究发现,吡非尼酮组DLCO%改善显著高于对照组,提升10.4% (95%CI:4.3%~16.5%, P=0.001)。第24周时,吡非尼酮组78.4%患者观察到DLCO%改善,而对照组为54.2%。吡非尼酮组第24周FVC%和FEV1%较对照组分别提升8.9%(95%CI:3.0%~14.9%,P=0.003)和6.7%(95%CI:0.5%~12.9%,P=0.034)。吡非尼酮组73.7%和60.5%患者FVC%和FEV1%较基线改善,对照组为56.0%和48.0%。此外,吡非尼酮显著改善24周APEFS(81.7%对61.9%, P=0.017)。


吡非尼酮显著改善肺功能关键指标


吡非尼酮显著改善24周APEFS


在安全性方面,吡非尼酮组82.1%和对照组76.1%患者出现不良事件,其中80%为1-2级不良事件。吡非尼酮组44.8%患者出现药物相关不良事件,包括4例3级不良事件,未观察到4级或5级不良事件。最常见的不良反应为食欲减退、皮疹和乏力。吡非尼酮组表现出良好的用药依从性和耐受性。


值得注意的是,这是全球首个针对放射性肺损伤病理生理过程且完成度高的随机对照试验,将吡非尼酮“跨界”引入胸部肿瘤放疗领域,填补了放射性肺损伤“激素后时代”的治疗空白,也为胸部肿瘤放疗的安全性保驾护航。基于Ⅱ期临床试验的结果,陈明教授研究团队正在启动III期多中心随机对照临床试验,以更大样本证实该结论。


中山大学肿瘤防治中心陈明教授、陈宝清副主任医师、李绮雯副主任医师及中国医学科学院肿瘤医院王绿化教授为本文共同通讯作者。侯赞博士、董百强主治医师、福建省肿瘤医院姚奇伟教授、广东医科大学附属医院陈华林教授和唐都医院邵秋菊教授为共同第一作者。


通讯员丨中山大学肿瘤防治中心  郑敏珊 陈鋆 文朝阳 周昕熙

200 评论

查看更多